por Zicra » Qua Mar 30, 2016 18:47
Contextualizando:
Fator de risco é um elemento que, quando presente, eleva as probabilidades de ocorrência de determinado evento adverso. A probabilidade relativa de um paciente vir a ‘morrer do coração’ (ou, mais elegantemente, desenvolver um evento cardiovascular aterosclerótico fatal) nos próximos 10 anos foi estabelecida pelas Sociedade Europeia de Cardiologia (ESC) e Sociedade Europeia para Prevenção e Reabilitação Cardiovascular (EACPR). Esta fórmula considera diversos fatores de risco, como a idade, o sexo, a tensão arterial, as concentrações de colesterol e o tabagismo. Cada um destes fatores altera muito significativamente o risco do paciente. Alguns deles não podem ser alterados (idade e sexo), de tal forma que o investimento médico deverá concentrar-se naqueles modificáveis (controlar a tensão arterial, o colesterol e, principalmente, deixar de fumar). O resultado aparece na forma de percentagem, que é traduzida para o paciente com termos como ‘baixo risco’, ‘risco moderado’, ‘risco alto’ ou ‘risco muito alto’. Com base nestes termos, foram criadas tabelas com cores (desde o verde ‘tudo OK’, até o vermelho escuro ‘cuidado lá!’). Como médico (e como paciente!), tenho dificuldade em avaliar a diferença entre estes termos ou as suas cores. Há, no entanto um conceito que se percebe bem: a idade dos seus vasos sanguíneos. Se o meu médico me disser ‘Você tem 50 anos, mas os seus vasos têm 58 anos. Deixe de fumar!’, eu, provavelmente, largaria o tabaco.
A Questão:
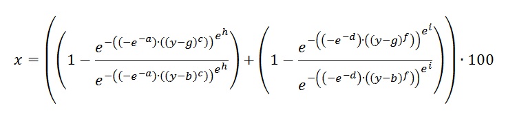
Se o risco cardiovascular é dado pela fórmula:
x=((1-?e^(-((?-e?^(-a) )?((y-g)^c ) ) )?^(e^h )/?e^(-((?-e?^(-a) )?((y-b)^c ) ) )?^(e^h ) )+(1-?e^(-((?-e?^(-d) )?((y-g)^f ) ) )?^(e^i )/?e^(-((?-e?^(-d) )?((y-b)^f ) ) )?^(e^i ) ) )?100
quanto é y?
y=?
Eu não consegui utilizar o editor de fórmulas. Em anexo, um documento do Word com a fórmula mais bem apresentada. Desculpem lá!
-
Zicra
- Novo Usuário

-
- Mensagens: 3
- Registrado em: Qua Mar 30, 2016 17:38
- Formação Escolar: GRADUAÇÃO
- Área/Curso: Medicina
- Andamento: formado
por adauto martins » Sex Abr 08, 2016 11:21
meu caro zicra,
vc poderia me informar sobre o site q. eu encontro essa equaçao para poder entender e transcreve-la para o latex,e caso de,resolve-la pra vc...no mais obrigado,
adauto martins
-
adauto martins
- Colaborador Voluntário

-
- Mensagens: 1171
- Registrado em: Sex Set 05, 2014 19:37
- Formação Escolar: EJA
- Área/Curso: matematica
- Andamento: cursando
por Zicra » Dom Abr 10, 2016 11:19
Caro Adauto Martins
Obrigado pela sua resposta. Pensei ter anexado um documento do Word, na primeira mensagem. Vou anexar um jpeg com a tal fórmula e me certificar de que ela vai com a mensagem. Caso perceba o meu insucesso, arranjo maneira de fazer chegar esta informação a este tread.

- Arquivo jpeg com a fórmula do risco.
Obrigado, desde já.
Zicra
-
Zicra
- Novo Usuário

-
- Mensagens: 3
- Registrado em: Qua Mar 30, 2016 17:38
- Formação Escolar: GRADUAÇÃO
- Área/Curso: Medicina
- Andamento: formado
por adauto martins » Seg Abr 11, 2016 16:28
primeiramente vamos simplificar essa equaçao...creio q. a,b,c,d,f,g,h,i sejam parametros constantes e

seja a exponencial neperiano(

)...entao:

...daqui é obter y=f(x)...nesse caso:

,aqui propriedades da exponencial...agora e usar as propriedades do logaritmo...

...

e dai meu zicra e usar as propriedades algebricas comuns(+,-,.,/) e substituir x por (a/b)y e encontrar y,e´ calculo pacas(muita conta)...
-
adauto martins
- Colaborador Voluntário

-
- Mensagens: 1171
- Registrado em: Sex Set 05, 2014 19:37
- Formação Escolar: EJA
- Área/Curso: matematica
- Andamento: cursando
por Zicra » Seg Abr 11, 2016 17:56
Caro Adauto Martins
Obrigado, mais uma vez. Você assumiu corretamente. 'e' aparece como a constante de Napier. Tinha noção de que essa solução, apesar de possível, não era simples. Os meus conhecimentos de matemática, no entanto, ficam aquém dos logaritmos e exponenciais. Para chegar a esta equação, vários passos são dados. Vou ver se consigo chegar à solução através de cada etapa.
Um abraco!
Zicra
-
Zicra
- Novo Usuário

-
- Mensagens: 3
- Registrado em: Qua Mar 30, 2016 17:38
- Formação Escolar: GRADUAÇÃO
- Área/Curso: Medicina
- Andamento: formado
Voltar para Álgebra Elementar
Se chegou até aqui, provavelmente tenha interesse pelos tópicos relacionados abaixo.
Aproveite a leitura. Bons estudos!
-
- Álgebra Elementar
por Abelardo » Seg Mar 14, 2011 18:09
- 1 Respostas
- 2337 Exibições
- Última mensagem por LuizAquino

Seg Mar 14, 2011 18:21
Álgebra Elementar
-
- Álgebra Elementar
por Thiago Josep » Sex Set 05, 2014 15:32
- 1 Respostas
- 2700 Exibições
- Última mensagem por DanielFerreira

Qui Jan 01, 2015 22:22
Álgebra Elementar
-
- Exercicio-Algebra elementar
por Renks » Seg Fev 14, 2011 20:38
- 3 Respostas
- 4769 Exibições
- Última mensagem por Renks

Ter Fev 15, 2011 13:55
Álgebra Elementar
-
- Questão - Álgebra Elementar
por Oliver » Qua Fev 16, 2011 13:10
- 1 Respostas
- 2584 Exibições
- Última mensagem por DanielFerreira

Qui Fev 17, 2011 16:32
Álgebra Elementar
-
- Demonstrações! Álgebra elementar
por Abelardo » Ter Mar 08, 2011 00:42
- 5 Respostas
- 6969 Exibições
- Última mensagem por Abelardo

Ter Mar 08, 2011 14:35
Álgebra Elementar
Usuários navegando neste fórum: Nenhum usuário registrado e 53 visitantes
Assunto:
método de contagem
Autor:
sinuca147 - Seg Mai 25, 2009 09:10
Veja este exercício:
Se A = {

} e B = {

}, então o número de elementos A

B é:
Eu tentei resolver este exercício e achei a resposta "três", mas surgiram muitas dúvidas aqui durante a resolução.
Para determinar os elementos do conjunto A, eu tive de basicamente fazer um lista de vinte dividido por todos os números naturais maiores que zero e menores que vinte e um, finalmente identificando como elementos do conjunto A os números 1, 2, 4, 5, 10 e 20. Acho que procedi de maneira correta, mas fiquei pensando aqui se não existiria um método mais "sofisticado" e prático para que eu pudesse identificar ou ao menos contar o número de elementos do conjunto A, existe?
No processo de determinação dos elementos do conjunto B o que achei foi basicamente os múltiplos de cinco e seus opostos, daí me surgiram estas dúvidas:
existe oposto de zero?
existe inverso de zero?
zero é par, certo?
sendo x um número natural, -x é múltiplo de x?
sendo z um número inteiro negativo, z é múltiplo de z?
sendo z um número inteiro negativo, -z é múltiplo de z?
A resposta é 3?
Obrigado.
Assunto:
método de contagem
Autor:
Molina - Seg Mai 25, 2009 20:42
Boa noite, sinuca.
Se A = {

} você concorda que n só pode ser de 1 a 20? Já que pertence aos naturais?
Ou seja, quais são os divisores de 20? Eles são seis: 1, 2, 4, 5, 10 e 20.
Logo, o conjunto A é
A = {1, 2, 4, 5, 10, 20}
Se B = {

} você concorda que x será os múltiplos de 5 (positivos e negativos)? Já que m pertence ao conjunto Z?
Logo, o conjunto B é
B = {... , -25, -20, -15, -10, -5, 0, 5, 10, 15, 20, 25, ...
Feito isso precisamos ver os números que está em ambos os conjuntos, que são:
5, 10 e 20 (3 valores, como você achou).
Vou responder rapidamente suas dúvidas porque meu tempo está estourando. Qualquer dúvida, coloque aqui, ok?
sinuca147 escreveu:No processo de determinação dos elementos do conjunto B o que achei foi basicamente os múltiplos de cinco e seus opostos, daí me surgiram estas dúvidas:
existe oposto de zero? sim, é o próprio zero
existe inverso de zero? não, pois não há nenhum número que multiplicado por zero resulte em 1
zero é par, certo? sim, pois pode ser escrito da forma de 2n, onde n pertence aos inteiros
sendo x um número natural, -x é múltiplo de x? Sim, pois basta pegar x e multiplicar por -1 que encontramos -x
sendo z um número inteiro negativo, z é múltiplo de z? Sim, tais perguntando se todo número é multiplo de si mesmo
sendo z um número inteiro negativo, -z é múltiplo de z? Sim, pois basta pegar -z e multiplicar por -1 que encontramos x
A resposta é 3? Sim, pelo menos foi o que vimos a cima
Bom estudo,

Assunto:
método de contagem
Autor:
sinuca147 - Seg Mai 25, 2009 23:35
Obrigado, mas olha só este link
http://www.colegioweb.com.br/matematica ... ro-natural
neste link encontra-se a a frase:
Múltiplo de um número natural é qualquer número que possa ser obtido multiplicando o número natural por 0, 1, 2, 3, 4, 5, etc.
Para determinarmos os múltiplos de 15, por exemplo, devemos multiplicá-lo pela sucessão dos números naturais:
Ou seja, de acordo com este link -5 não poderia ser múltiplo de 5, assim como 5 não poderia ser múltiplo de -5, eu sempre achei que não interessava o sinal na questão dos múltiplos, assim como você me confirmou, mas e essa informação contrária deste site, tem alguma credibilidade?
Há e claro, a coisa mais bacana você esqueceu, quero saber se existe algum método de contagem diferente do manual neste caso:
Para determinar os elementos do conjunto A, eu tive de basicamente fazer um lista de vinte dividido por todos os números naturais maiores que zero e menores que vinte e um, finalmente identificando como elementos do conjunto A os números 1, 2, 4, 5, 10 e 20. Acho que procedi de maneira correta, mas fiquei pensando aqui se não existiria um método mais "sofisticado" e prático para que eu pudesse identificar ou ao menos contar o número de elementos do conjunto A, existe?
Powered by phpBB © phpBB Group.
phpBB Mobile / SEO by Artodia.