Pesquisa resultou em 121 ocorrências

Voltar à pesquisa avançada

Re: Duvida sobre determinar a igualdade (3x-1)/(2x-6)<3

\frac{\left(3x-1 \right)}{\left(2x-6 \right)} < 3 \frac{\left(3x-1 \right)}{\left(2x-6 \right)} -3 < 0 \frac{\left(3x-1) - \left(6x-18)}{\left(2x-6 \right)} < 0 \frac{\left(-3x+17)}{\left(2x-6 \right)} < 0 -3x+17 = 0 x=\frac{17...
por Sobreira
Dom Jun 19, 2022 19:00
 
Fórum: Inequações
Tópico: Duvida sobre determinar a igualdade (3x-1)/(2x-6)<3
Respostas: 1
Exibições: 9170

Dúvida circuito magnético.

Olá amigos, Gostaria de pedir a ajuda a todos engenheiros do fórum nesta questão. Acho que, talvez, meu erro esteja na consideração das dimensões dos diferentes materiais magnéticos para o cálculo das relutâncias. Eu considerei a área do entreferro como a mesma do que a da sapata polar, (não sei se ...
por Sobreira
Sáb Mar 14, 2015 19:57
 
Fórum: Cálculo: Limites, Derivadas e Integrais
Tópico: Dúvida circuito magnético.
Respostas: 0
Exibições: 1828

Re: Questão concurso - Corrente de base e de coletor transis

Primeiramente young_jedi, gostaria de dizer que você é o cara. Muito obrigado mesmo. Sempre me ajudando. Segundo, tenho um conflito, eu tentei resolver realizando a primeira malha e aplicando divisor de tensão. Meu ponto é o seguinte, porque, de forma técnica, eu não podia aplicar análise de malhas ...
por Sobreira
Qua Dez 10, 2014 23:27
 
Fórum: Equações
Tópico: Questão concurso - Corrente de base e de coletor transistor
Respostas: 3
Exibições: 2217

Questão concurso - Corrente de base e de coletor transistor

Olá, Sei que o fórum é de matemática, mas como sei que habitam aqui muitos engenheiros eletricistas, gostaria de saber se há alguém que possa me ajudar na seguinte questão abaixo: Já tentei e não consegui resolver de forma alguma. Eu fiz algumas manipulações neste exercício. Por exemplo, a junção BC...
por Sobreira
Qua Dez 10, 2014 15:45
 
Fórum: Equações
Tópico: Questão concurso - Corrente de base e de coletor transistor
Respostas: 3
Exibições: 2217

Problema de análise combinatória.

Pessoal estava um tempo sem ver o conteúdo de análise combinatória e tenho uma dúvida neste problema: No lançamento de dois dados, calcule a probabilidade de obter a soma 5. O principio fundamental da contagem diz que o total de possibilidades é igual à multiplicação das possibilidade de cada evento...
por Sobreira
Seg Set 15, 2014 01:03
 
Fórum: Análise Combinatória
Tópico: Problema de análise combinatória.
Respostas: 1
Exibições: 4479

Circuito elétrico - Calcular a potência aparente total.

Alguém, pode por favor, me ajudar a resolver esta questão ????
Para resolver eu montei o triângulo de potências de cada uma das cargas e depois somei vetorialmente, mas não dá a resposta.
por Sobreira
Qui Mai 01, 2014 18:41
 
Fórum: Equações
Tópico: Circuito elétrico - Calcular a potência aparente total.
Respostas: 0
Exibições: 1450

Gráficos de funções.

Prezados, Estava estudando alguns gráficos de funções e estava com uma dificuldade. Algumas funções possuem gráficos característicos, como a exponencial, segundo grau etc. Minha dúvida é a seguinte: As vezes vemos uma função e tentamos já imaginar o gráfico da função mas ele é diferente do imaginado...
por Sobreira
Ter Fev 25, 2014 08:51
 
Fórum: Funções
Tópico: Gráficos de funções.
Respostas: 1
Exibições: 1915

Re: Circuito com ramo nulo.

Quer dizer então que é como se a corrente não pode ir e voltar por este mesmo ramo ??? Ela teria que ir para o lado direito por um ramo e retornar por outro ???
por Sobreira
Dom Fev 23, 2014 21:39
 
Fórum: Equações
Tópico: Circuito com ramo nulo.
Respostas: 3
Exibições: 4399

Circuito com ramo nulo.

Boa tarde. Estava resolvendo um exercício a respeito do circuito abaixo e me deparei com uma dúvida: Eu entendo que a corrente no nó 3, abaixo do resistor de 10Kohms se divide entre voltar para a fonte de 5 mA e para o outro lado (direito) do circuito. Mas aí que está: Como ela se comporta lá?? Ela ...
por Sobreira
Dom Fev 23, 2014 18:48
 
Fórum: Equações
Tópico: Circuito com ramo nulo.
Respostas: 3
Exibições: 4399

Derivada no ponto de descontinuidade - capacitor.

Amigos, Tenho a seguinte dúvida: Há uma afirmação que no capacitor não pode haver variação brusca de tensão em seus terminais. Lendo no livro o autor justifica que isto não é possível pois haverá a necessidade de uma corrente infinita. Mas aí que não entendi: Pelo meu entender isto parte do problema...
por Sobreira
Dom Dez 08, 2013 14:27
 
Fórum: Cálculo: Limites, Derivadas e Integrais
Tópico: Derivada no ponto de descontinuidade - capacitor.
Respostas: 1
Exibições: 7337

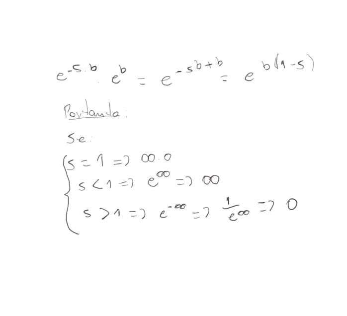
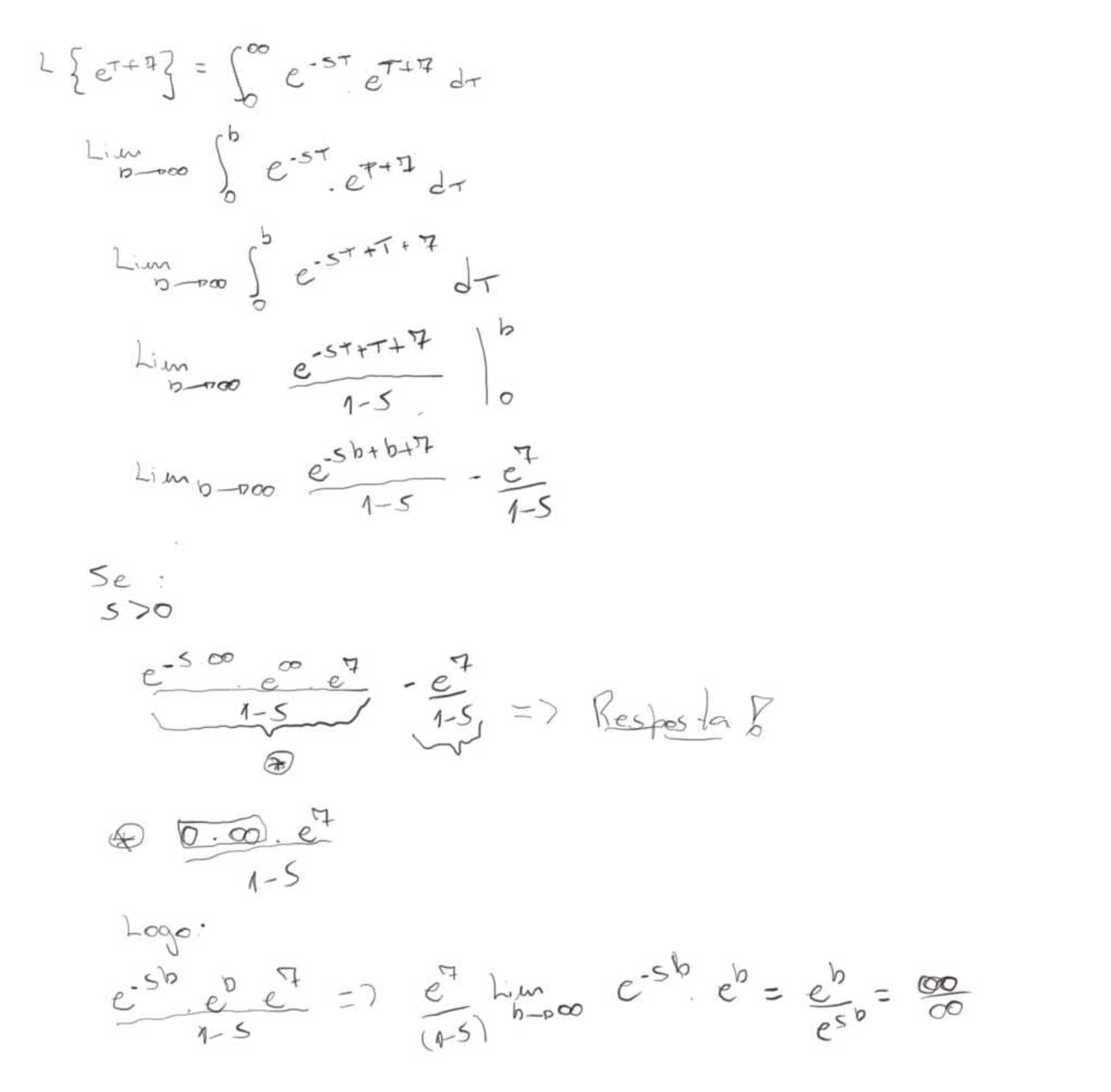
Re: Resolver limite de exponencial por L'Hospital.

Então... Eu realmente tenho ficado confuso naquela parte do asterisco...pq não eh somente neste exercício....já houve alguns outros que o problema ficava naquele termo do asterisco por não conseguir eliminar a indeterminação e vejo que a resposta está logo ali do outro lado esperando o resultado des...
por Sobreira
Sáb Nov 30, 2013 17:21
 
Fórum: Cálculo: Limites, Derivadas e Integrais
Tópico: Resolver limite de exponencial por L'Hospital.
Respostas: 9
Exibições: 6629

Re: Resolver limite de exponencial por L'Hospital.

Acho só que você viu errado a função:

A função é f\left(t \right)={e}^{-st+t+7}

E não:

f\left(t \right)={e}^{-st+t}+7
por Sobreira
Sáb Nov 30, 2013 16:59
 
Fórum: Cálculo: Limites, Derivadas e Integrais
Tópico: Resolver limite de exponencial por L'Hospital.
Respostas: 9
Exibições: 6629

Re: Resolver limite de exponencial por L'Hospital.

Veja o que consegui até agora:

resolução.jpg


resolução 2.jpg
por Sobreira
Sáb Nov 30, 2013 16:42
 
Fórum: Cálculo: Limites, Derivadas e Integrais
Tópico: Resolver limite de exponencial por L'Hospital.
Respostas: 9
Exibições: 6629

Re: Resolver limite de exponencial por L'Hospital.

Na realidade estou tentando encontrar a transformada de Laplace através da definição: A função é f(t)= {e}^{t+7} Como posso resolver ??? \int_{0}^{\infty}{e}^{-st}f\left(t \right)dt Depois de resolver a integral, quando considerei s>0 acabei caindo neste problema que ainda não consegui resol...
por Sobreira
Sáb Nov 30, 2013 15:52
 
Fórum: Cálculo: Limites, Derivadas e Integrais
Tópico: Resolver limite de exponencial por L'Hospital.
Respostas: 9
Exibições: 6629

Resolver limite de exponencial por L'Hospital.

Olá amigos,

Estou tentando resolver este limite por L'Hospital mas nunca consigo eliminar a indeterminação...alguma idéia ???

\lim_{b\rightarrow\infty} \frac{{e}^{b}}{{e}^{sb}}

Se eu derivar seguidas vezes ainda não consigo eliminar a indeterminação \frac{\infty}{\infty}
por Sobreira
Sáb Nov 30, 2013 15:00
 
Fórum: Cálculo: Limites, Derivadas e Integrais
Tópico: Resolver limite de exponencial por L'Hospital.
Respostas: 9
Exibições: 6629

Re: Funções por partes.

Na reta vertical (x=constante) entendo que não é uma função por justamente o que você disse, mas como então eu poderia construir um gráfico que contenha uma reta vertical ???
Pelo que eu entendi então, x=constante não é uma função...mas este pode ser usado para a construção de um gráfico ??
por Sobreira
Seg Nov 25, 2013 17:04
 
Fórum: Funções
Tópico: Funções por partes.
Respostas: 3
Exibições: 1925

Funções por partes.

Amigos,

Tenho a seguinte dúvida:

Tenho a seguinte função definida por partes:

0\leq x <1\ y(x)=3.6x

1\leq x <2\ y(x)=-0.4x+4

2\leq x <3\ y(x)=-0.4x+1.2

Qual dos dois gráficos representa esta função ????
1.jpg
1.jpg (10.49 KiB) Exibido 1925 vezes
2.jpg
2.jpg (10.57 KiB) Exibido 1925 vezes
por Sobreira
Dom Nov 24, 2013 15:22
 
Fórum: Funções
Tópico: Funções por partes.
Respostas: 3
Exibições: 1925

Re: Determinar a potência dissipada em um circuito elétrico.

Então pessoal, consegui modelar o circuito a partir daquelas equações e aih está. Mas ainda há um problema, o exercício pede a potência total fornecida, o sentido das correntes estão corretos como pode ser visto nos amperímetros e conforme calculado anteriormente. Segundo a convenção passiva, se a c...
por Sobreira
Dom Out 06, 2013 13:00
 
Fórum: Aritmética
Tópico: Determinar a potência dissipada em um circuito elétrico.
Respostas: 4
Exibições: 3290

Re: Determinar a potência dissipada em um circuito elétrico.

Ok. Eu tinha esquecido de falar. Essas correntes eu já tinha calculado pela regra de Cramer mesmo. Sei que tenho as tensões, as correntes, mas a partir daí para calcular a potência total fornecida não consigo chegar no valor. A partir daí como você faria para chegar no valor da potência total dissip...
por Sobreira
Sáb Out 05, 2013 21:40
 
Fórum: Aritmética
Tópico: Determinar a potência dissipada em um circuito elétrico.
Respostas: 4
Exibições: 3290

Determinar a potência dissipada em um circuito elétrico.

Não estou conseguindo resolver esta questão abaixo (retirada de uma prova de concurso para engenheiro eletricista). O enunciado fala que a equação matricial abaixo foi obtida através de uma análise de correntes de malha em um circuito, então a partir disso o exercício pede que seja calculada a potên...
por Sobreira
Sáb Out 05, 2013 16:34
 
Fórum: Aritmética
Tópico: Determinar a potência dissipada em um circuito elétrico.
Respostas: 4
Exibições: 3290

Re: Resolução de um limite.

Então. Entendo que L´Hospital seria uma técnica a mais para resolver limites que não são facilmente resolvidos por fatoração, por exemplo. Posso utilizar perfeitamente L´Hospital, mas entendo que este limite seria também tranquilamente resolvido por alguma técnica mais simples (como dividir uma equa...
por Sobreira
Qua Out 02, 2013 17:30
 
Fórum: Cálculo: Limites, Derivadas e Integrais
Tópico: Resolução de um limite.
Respostas: 2
Exibições: 1537

Resolução de um limite.

Amigos, Fiz uma prova de cálculo 3 e havia uma sequência e o exercício pedia para determinar o limite da seguinte sequência: \lim_{n\rightarrow\infty}\left(\frac{1-n}{{n}^{2}} \right) Então resolvi por maior grau: \left(\frac{\frac{1}{{n}^{2}}-\frac{n}{{n}^{2}}}{\frac{{n}^{2}}{{n}^{2}}} ...
por Sobreira
Qua Out 02, 2013 11:32
 
Fórum: Cálculo: Limites, Derivadas e Integrais
Tópico: Resolução de um limite.
Respostas: 2
Exibições: 1537

Re: Como separar equação diferencial ordinária.

Este meu desenvolvimento estaria correto ??? {x}^{2}\frac{dy}{dx}+{x}^{2}y+2xy={e}^{x} \frac{dy}{dx}=\frac{{e}^{x}-{x}^{2}y-2xy}{{x}^{2}} \frac{dy}{dx}=\frac{{e}^{x}}{{x}^{2}}-\frac{{x}^{2}y}{{x}^{2}}-\frac{2xy}{{x}^{2}} \frac{dy}{dx}=\frac{{e}^{x}}{{x}^{2}}-\frac{y}{{x}^{2}}-\frac{2y}{x} A partir d...
por Sobreira
Sáb Set 28, 2013 12:46
 
Fórum: Cálculo: Limites, Derivadas e Integrais
Tópico: Como separar equação diferencial ordinária.
Respostas: 5
Exibições: 2832

Re: Como separar equação diferencial ordinária.

esta primeira não da para separar x^2\frac{dy}{dx}+x(x+2)y=e^x \frac{dy}{dx}=\frac{e^x-x(x+2)y}{x^2} veja que não da para separar em uma função de y vezes uma função de x Então...aí que está. Eu não consigo entender como é possível verificar se as funções irão se apresentar como pro...
por Sobreira
Sáb Set 28, 2013 09:25
 
Fórum: Cálculo: Limites, Derivadas e Integrais
Tópico: Como separar equação diferencial ordinária.
Respostas: 5
Exibições: 2832

Como separar equação diferencial ordinária.

Tenho dificuldade em reconhecer quando uma E.D.O é separável ou não. Sei que ela deve se apresentar desta forma: \frac{dy}{dx}=h\left(x \right)g\left(y \right) Mas não tenho total certeza sobre como tentar separar uma E.D.O corretamente. Por exemplo, as equações a seguir eu resolvi p...
por Sobreira
Qui Set 26, 2013 09:06
 
Fórum: Cálculo: Limites, Derivadas e Integrais
Tópico: Como separar equação diferencial ordinária.
Respostas: 5
Exibições: 2832

Re: Preciso ajuda urgente neste Limite

Há uma indeterminação do tipo \infty-\infty, portanto trabalhando esta função.

{x}^{2}\left(-5x+8 \right)-3

Aplicando o limite:

{\infty}^{2}\left(-\infty \right)-3

-\infty-3

-\infty
por Sobreira
Ter Set 24, 2013 01:53
 
Fórum: Cálculo: Limites, Derivadas e Integrais
Tópico: Preciso ajuda urgente neste Limite
Respostas: 1
Exibições: 1892

Re: Dúvida sobre este limite

Então...acabei analisando rápido e nem prestei atenção à raíz, então neste caso, mesmo pela esquerda e sendo negativo eu elevaria ao quadrado e obteria infinito positivo. Mas sua observação é pertinente, o limite não existe pela esquerda devido à raíz.
por Sobreira
Ter Set 24, 2013 01:47
 
Fórum: Cálculo: Limites, Derivadas e Integrais
Tópico: Dúvida sobre este limite
Respostas: 3
Exibições: 2627

Re: Dúvida sobre este limite

Note que no primeiro exemplo você terá uma indeterminação do tipo \frac{x\neq0}{0} , portanto você irá obter como resposta uma função tendendo a \infty . Você pode verificar se a função tende a + \infty ou - \infty , através dos limites laterais, mas como {x}^{2} , logo por qualquer lado será positi...
por Sobreira
Seg Set 23, 2013 12:25
 
Fórum: Cálculo: Limites, Derivadas e Integrais
Tópico: Dúvida sobre este limite
Respostas: 3
Exibições: 2627

Re: Circuito Elétrico sem solução.

Mas aí a corrente não se dividirá no nó acima do resistor R5 e/ou no nó acima de R6 ???
por Sobreira
Sáb Set 21, 2013 00:09
 
Fórum: Aritmética
Tópico: Circuito Elétrico sem solução.
Respostas: 3
Exibições: 7963

Circuito Elétrico sem solução.

O exercício informa que a tensão sobre o resistor de 10 ohms é 5V e pede a potência dissipada no resistor de 4 ohms.
Já tentei algumas técnicas e não consegui resolver.
por Sobreira
Qui Set 19, 2013 02:20
 
Fórum: Aritmética
Tópico: Circuito Elétrico sem solução.
Respostas: 3
Exibições: 7963
Próximo

Voltar à pesquisa avançada