Pesquisa resultou em 41 ocorrências

Voltar à pesquisa avançada

Re: Integral - Cálculo de áreas

Agora, reflita sobre a questão: usando essa informação e a dica anterior, como calcular a área da região delimitada por f e g no intervalo [-1, 0]? Então, nesse contexto teríamos:Área= -\int_{-1}^{0}(x-x^3)dx=\frac{1}{4} Então na minha resolução eu deveria ter procedido da seguinte maneira:...
por AlbertoAM
Qua Jun 29, 2011 20:44
 
Fórum: Cálculo: Limites, Derivadas e Integrais
Tópico: Integral - Cálculo de áreas
Respostas: 5
Exibições: 6647

Re: Integral - Cálculo de áreas

Olá, não entendi porque essa área hachurada na sua figura equivaleria a área limitada pelo gráfico de f(x)=x³ e g(x)=x abaixo do eixo x.De um modo mais fácil eu poderia ter só calculado essa integral: \int_{0}^{1}(x-x^3)dx=\frac{1}{4} e multiplicado por 2.O que estaria de errado na minha res...
por AlbertoAM
Ter Jun 28, 2011 16:01
 
Fórum: Cálculo: Limites, Derivadas e Integrais
Tópico: Integral - Cálculo de áreas
Respostas: 5
Exibições: 6647

Integral - Cálculo de áreas

Desenhe o conjunto A e calcule a área: A é o conjunto do plano limitado pela reta y=x, pelo gráfico de y=x³, com -1?x?1. R.:Área=1/2 O gráfico que eu fiz: Sem título.jpg Área= -\int_{-1}^{0}(x^3-x)dx + \int_{0}^{1}(x-x^3)dx=0 No caso, faríamos (x³-x) e (x-x³) para delimitar a área ha...
por AlbertoAM
Ter Jun 28, 2011 00:25
 
Fórum: Cálculo: Limites, Derivadas e Integrais
Tópico: Integral - Cálculo de áreas
Respostas: 5
Exibições: 6647

Re: Limites

Claudin escreveu:\lim_{x\rightarrow+\infty}\frac{4\sqrt[]{x}}{x}= 0

Mas esse pensamento seu (Alberto) esta certo não está não?


Está certo, eu é que fiz confusão.
por AlbertoAM
Ter Jun 14, 2011 07:39
 
Fórum: Cálculo: Limites, Derivadas e Integrais
Tópico: Limites
Respostas: 9
Exibições: 3601

Re: Limites

Caramba, que confusão que eu fiz.Bem mais direta sua resolução, legal.
por AlbertoAM
Seg Jun 13, 2011 18:32
 
Fórum: Cálculo: Limites, Derivadas e Integrais
Tópico: Limites
Respostas: 9
Exibições: 3601

Re: Limites

Desculpe-me, cometi um erro grave nessa passagem:
\frac{4\sqrt[]{x}}{x}, não poderia ter colocado zero, pois temos uma indeterminação do tipo infinito/infinito.
por AlbertoAM
Seg Jun 13, 2011 18:03
 
Fórum: Cálculo: Limites, Derivadas e Integrais
Tópico: Limites
Respostas: 9
Exibições: 3601

Re: Limites

\lim_{x\rightarrow+\infty} \frac{2+\sqrt[]{x}}{2-\sqrt[]{x}}=\lim_{x\rightarrow+\infty}\frac{2+\sqrt[]{x}}{2-\sqrt[]{x}}\left(\frac{2+\sqrt[]{x}}{2+\sqrt[]{x}} \right)=\lim_{x\rightarrow+\infty}\frac{x+4\sqrt[]{x}+4}{4-x}=\\\\\lim_{x\rightarrow+\infty}\frac{\cancel{x}\left(1+\cancelto{0...
por AlbertoAM
Seg Jun 13, 2011 16:34
 
Fórum: Cálculo: Limites, Derivadas e Integrais
Tópico: Limites
Respostas: 9
Exibições: 3601

Re: Regra de l'Hopital

Aplique L'Hôpital mais duas vezes que você chegará em \frac{e^x}{e^x}=1.
por AlbertoAM
Sex Jun 10, 2011 14:13
 
Fórum: Cálculo: Limites, Derivadas e Integrais
Tópico: Regra de l'Hopital
Respostas: 15
Exibições: 11058

Re: Derivadas

Como o 5 é uma constante, podemos "tirar" ele da derivada.Do mesmo jeito que poderíamos ter derivado como 5x, daria na mesma, mas teríamos mais contas.
por AlbertoAM
Qua Jun 08, 2011 15:16
 
Fórum: Cálculo: Limites, Derivadas e Integrais
Tópico: Derivadas
Respostas: 24
Exibições: 15936

Re: Derivadas

Porque a simplicação não poderia ter sido feita? Quanto ao exercíco: f'(x)=5\left[\frac{x^2+x^4-x(2x+4x^3)}{(x^2+x^4)^2}\right]=5\left[\frac{-3x^4-x^2}{x^8+2x^6+x^4} \right]=\\\\5\left[\left\frac{-x^2(3x^2+1)}{x^2(x^6+2x^4+x^2)}\right]=\frac{-5(3x^2+1&...
por AlbertoAM
Ter Jun 07, 2011 16:39
 
Fórum: Cálculo: Limites, Derivadas e Integrais
Tópico: Derivadas
Respostas: 24
Exibições: 15936

Re: Derivadas

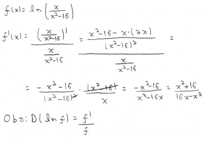
Sim, você terá que usar novamente a Regra da Cadeia.Estou sem tempo para escrever usando o latex, então eu escaneei o que fiz no papel.
Está aqui:
derivada.jpg


Espero que entenda.
por AlbertoAM
Seg Jun 06, 2011 22:52
 
Fórum: Cálculo: Limites, Derivadas e Integrais
Tópico: Derivadas
Respostas: 24
Exibições: 15936

Re: Derivadas

Sim, é a regra da cadeia. Observe que: Se y=x^7 então y'=7x^6 .Porém, se: y=\left(5x-2 \right)^7\Rightarrow y'=7(5x-2)^6(5x-2)'=7(5x-2)^6.5=35(5x-2)^6 Ou, seja, não temos que mais que derivar apenas x, temos uma função composta, no caso acima (5x-...
por AlbertoAM
Dom Jun 05, 2011 20:25
 
Fórum: Cálculo: Limites, Derivadas e Integrais
Tópico: Derivadas
Respostas: 24
Exibições: 15936

Re: Derivadas

Sim, é a regra da cadeia. Observe que: Se y=x^7 então y'=7x^6 .Porém, se: y=\left(5x-2 \right)^7\Rightarrow y'=7(5x-2)^6(5x-2)'=7(5x-2)^6.5=35(5x-2)^6 Ou, seja, não temos que mais que derivar apenas x, temos uma função composta, no caso acima (5x-2...
por AlbertoAM
Dom Jun 05, 2011 20:23
 
Fórum: Cálculo: Limites, Derivadas e Integrais
Tópico: Derivadas
Respostas: 24
Exibições: 15936

Re: Derivadas

Lembre-se que:
D\left({f}^{n} \right)=n{f}^{n-1}.f'

Ou seja, você teria que ter multiplicado a sua expressão pela derivada de (2x+1).
por AlbertoAM
Dom Jun 05, 2011 19:55
 
Fórum: Cálculo: Limites, Derivadas e Integrais
Tópico: Derivadas
Respostas: 24
Exibições: 15936

Re: Taxa de Variação

Mas Luiz, isso que você falou não é a mesma coisa que eu tinha feito na minha resolução(que contém alguns erros de digitação), dê uma olhada por favor.
por AlbertoAM
Ter Mai 31, 2011 21:32
 
Fórum: Cálculo: Limites, Derivadas e Integrais
Tópico: Taxa de Variação
Respostas: 10
Exibições: 10799

Re: Taxa de Variação

Colocando a variação das velocidades positivas, eu chego em 84km/h.Mas no gabarito está -84km/h, o que estou fazendo de errado?
por AlbertoAM
Ter Mai 31, 2011 18:30
 
Fórum: Cálculo: Limites, Derivadas e Integrais
Tópico: Taxa de Variação
Respostas: 10
Exibições: 10799

Re: Taxa de Variação

Entendi.Muito obrigado pela ajuda.
por AlbertoAM
Seg Mai 30, 2011 14:07
 
Fórum: Cálculo: Limites, Derivadas e Integrais
Tópico: Taxa de Variação
Respostas: 10
Exibições: 10799

Re: Taxa de Variação

Então Luiz, eu fiz esse exercício com base em um exercício resolvido do livro-texto que usamos na faculdade.Aqui está ele: Uma barra de 5m de comprimento tem as suas extremidades R e S deslizando sobre os suportes de um ângulo reto de origem O. Se a extremidade R da barra aproxima-se da origem à raz...
por AlbertoAM
Dom Mai 29, 2011 23:15
 
Fórum: Cálculo: Limites, Derivadas e Integrais
Tópico: Taxa de Variação
Respostas: 10
Exibições: 10799

Re: Taxa de Variação

Mas no caso, não teríamos uma função decrescente, pois quanto maior o tempo menor será a distância dos carros A e B em relação à T.
por AlbertoAM
Dom Mai 29, 2011 22:02
 
Fórum: Cálculo: Limites, Derivadas e Integrais
Tópico: Taxa de Variação
Respostas: 10
Exibições: 10799

Re: Taxa de Variação

Alguém?
por AlbertoAM
Dom Mai 29, 2011 13:25
 
Fórum: Cálculo: Limites, Derivadas e Integrais
Tópico: Taxa de Variação
Respostas: 10
Exibições: 10799

Taxa de Variação

Duas estradas retas se encotram em um entroncamento T, formando um ângulo de 60°.Uma das estradas passa pela cidade P, que dista 100km de T e a outra passa pela cidade Q, que dista 120km de T, conforme ilustra a figura seguinte.Sabendo que no instante t=0 o carro A passa por P a 72km/h em direção a ...
por AlbertoAM
Sáb Mai 28, 2011 15:53
 
Fórum: Cálculo: Limites, Derivadas e Integrais
Tópico: Taxa de Variação
Respostas: 10
Exibições: 10799

Taxa de variação

Duas estradas retas se cruzam perpendicularmente em um entroncamento T.Em uma das estradas o carro A trafega a 80km/h em direção a T e, na outra estrada, o carro B também trafega em direção a T a 60km/h, de modo que, no instante t=0, o carro A se encontra a 36km de T e o carro B a 202km de T.Pede-se...
por AlbertoAM
Sáb Mai 21, 2011 14:23
 
Fórum: Cálculo: Limites, Derivadas e Integrais
Tópico: Taxa de variação
Respostas: 1
Exibições: 5629

Re: Otimização

Compreendi agora.Como sempre muito atencioso.
Obrigado.
por AlbertoAM
Dom Mai 15, 2011 19:23
 
Fórum: Cálculo: Limites, Derivadas e Integrais
Tópico: Otimização
Respostas: 4
Exibições: 2514

Re: Otimização

Com você explicando pareceu banal a resolução, mas quando eu estava tentando resolver sozinho nem imaginava que era isso.Eu só não entendi porque no enunciado ele disse que o custo da tubulação submersa é o triplo do custo da tubulação terrestre e no desenho a tubulação submersa que é \overline{EP} ...
por AlbertoAM
Dom Mai 15, 2011 16:22
 
Fórum: Cálculo: Limites, Derivadas e Integrais
Tópico: Otimização
Respostas: 4
Exibições: 2514

Otimização

O desenho seguinte representa uma plataforma petrolífera submarina P, situada a 4 \,\sqrt[]{2} km da linha da praia e uma estação de refino R distante 10 km da projeção ortogonal P' de P.Deseja-se conectar, através de tubulações, a plataforma P com a estação R.Sabendo que o custo da tubulação submer...
por AlbertoAM
Sáb Mai 14, 2011 21:36
 
Fórum: Cálculo: Limites, Derivadas e Integrais
Tópico: Otimização
Respostas: 4
Exibições: 2514

Re: Derivadas

Então Luiz Aquino, na verdade a maioria dos exercícios que eu posto aqui são de matérias que eu ainda não tive nas aulas de Cálculo, ou seja, eu adianto as matérias antes de tê-las com o professor.Por isso eu pergunto se o meu raciocío nos exercícios está correto.
por AlbertoAM
Sáb Mai 07, 2011 15:20
 
Fórum: Cálculo: Limites, Derivadas e Integrais
Tópico: Derivadas
Respostas: 2
Exibições: 1300

Derivadas

O gráfico seguinte representa a derivada de ordem 1(f') de uma função f, derivável em R, até pelo menos a ordem 3.Determinar: ..jpg Os intervalos onde f é crescente, onde é decrescente e os pontos de máximo e de mínimo de f. Nesse caso o quadro de sinal está implícito no gráfico.Eu cheguei em : f é ...
por AlbertoAM
Sex Mai 06, 2011 20:02
 
Fórum: Cálculo: Limites, Derivadas e Integrais
Tópico: Derivadas
Respostas: 2
Exibições: 1300

Re: Reta tangente

Entendi porque estava ocorrendo o erro de sinal.
Vou deixar a preguiça de lado e vou começar a postar as questões com o auxílio do LaTex.Desculpe qualquer transtorno.
por AlbertoAM
Seg Mai 02, 2011 19:06
 
Fórum: Cálculo: Limites, Derivadas e Integrais
Tópico: Reta tangente
Respostas: 3
Exibições: 2032

Reta tangente

O enunciado do exercício está aqui:
http://img196.imageshack.us/i/retatangente.jpg/
Minha resolução:
http://img233.imageshack.us/i/retatangente.jpg/
A área do meu triangulo deu -3...
Esse erro ocorreu pois eu deveria ter trocado o sinal de OQ porque ele se localiza à esquerda do eixo x?
por AlbertoAM
Dom Mai 01, 2011 19:22
 
Fórum: Cálculo: Limites, Derivadas e Integrais
Tópico: Reta tangente
Respostas: 3
Exibições: 2032

Reta tangente

Em um videogame bidimensional, um avião tem como trajetória a parábola y=x²+x+1 e seus alvos estão sobre o eixo x.Sabendo que o avião dispara a sua munição apontada para os alvos no eixo x segundo a direção da reta tangente à parábola(no ponto em que o avião se encontra), pede-se: Existe alguma posi...
por AlbertoAM
Sáb Abr 30, 2011 15:32
 
Fórum: Cálculo: Limites, Derivadas e Integrais
Tópico: Reta tangente
Respostas: 1
Exibições: 1544
Próximo

Voltar à pesquisa avançada