Pesquisa resultou em 1 ocorrência

Voltar à pesquisa avançada

Função Modular

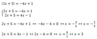
Resolver, em R, a equação |2x+5|=-4x+1
função modular.JPG
função modular.JPG (9.22 KiB) Exibido 2281 vezes


A resposta desconsidera o x=3 prq -4x+1>=0

Estou certo ou errado .... Gostaria que alguem me esclarece-se isso ...
por DanieldeLucena
Seg Set 20, 2010 18:03
 
Fórum: Funções
Tópico: Função Modular
Respostas: 1
Exibições: 2281

Voltar à pesquisa avançada