Pesquisa resultou em 24 ocorrências

Voltar à pesquisa avançada

Re: Calculo de Limite!!

Opa LuizAlquino ,

valeu pela ajuda...
por vyhonda
Qua Abr 20, 2011 00:34
 
Fórum: Cálculo: Limites, Derivadas e Integrais
Tópico: Calculo de Limite!!
Respostas: 2
Exibições: 1451

Calculo de Limite!!

Galera, como resolver isso ai.... quando se trata de raiz quadrada basta multiplicar pelo conjugado, mas qual sera o conjugado do numerador para multiplicar??? \lim_{x\rightarrow0} \frac{\sqrt[3]{8-2x+{x}^{2}}-2}{x-{x}^{2}} a resp é -1/6 [url]http://www.wolframalpha.com/input/?i=lim&a=*C.lim-_*C...
por vyhonda
Ter Abr 19, 2011 19:50
 
Fórum: Cálculo: Limites, Derivadas e Integrais
Tópico: Calculo de Limite!!
Respostas: 2
Exibições: 1451

Re: Dúvida com logaritmos

{{log}_{a}}^{10} = 2 pergunta: {{log}_{a}}^{\sqrt[4]{10}} = ?


Então: {{log}_{a}}^{{10}^{\frac{1}{4}}} = ? => \frac{1}{4} . {{log}_{a}}^{{10}^{}} = ?

\frac{1}{4} . 2 = ? => =  \frac{1}{2}
por vyhonda
Qui Dez 09, 2010 12:13
 
Fórum: Logaritmos
Tópico: Dúvida com logaritmos
Respostas: 1
Exibições: 1707

Re: Calcular lado de uma figura formada por uma recta parale

tem alguma imagem q vc possa enviar ou de qual prova (ano, instituição) pra analisar melhor ?
por vyhonda
Dom Dez 05, 2010 21:01
 
Fórum: Geometria Analítica
Tópico: Calcular lado de uma figura formada por uma recta paralela
Respostas: 2
Exibições: 2026

Geometria Plana FUVEST

(FUVEST) Seja AB um diâmetro de uma circunferência de raio r e C um ponto genérico da circunferência. Determinar a área do triângulo ABC em função do ângulo ABC= \beta e do raio r. Para que valor de \beta essa área é a maior possível? Resp: {r}^{2} sen 2\beta e \beta = 45º Procurei a resolução dess...
por vyhonda
Dom Dez 05, 2010 19:32
 
Fórum: Geometria Plana
Tópico: Geometria Plana FUVEST
Respostas: 1
Exibições: 3777

Re: Combinatória

Valeu Kelvin

Essa linha de raciocínio é interessante... não havia pensado nisso

a resp é mesmo {2}^{10}-1 !

tenks!
por vyhonda
Dom Nov 21, 2010 01:37
 
Fórum: Estatística
Tópico: Combinatória
Respostas: 2
Exibições: 4208

Combinatória

Essa é uma série do OBJETIVO, alguns não consegui resolver, help ..! (fuvest) - De um poligono convexo P de n lados, calcular o número de poligonos convexos, cujos vértices são vértices de P. UFMG - O Risco de contrair-se uma determinada doença é proporcional à razão entre o número de pessoas infect...
por vyhonda
Sáb Nov 20, 2010 13:07
 
Fórum: Estatística
Tópico: Combinatória
Respostas: 1
Exibições: 7206

Combinatória

FGV - Uma sala tem 10 portas. Calcular o número de maneiras diferentes que essa sala pode ser aberta.


Valeu pela ajuda!
por vyhonda
Sáb Nov 20, 2010 12:39
 
Fórum: Estatística
Tópico: Combinatória
Respostas: 2
Exibições: 4208

ITA

(ITA-SP) -> não consegui esta resolução, preciso de ajuda.... No sistema decimal, quantos números de cinco algarismos (sem repetição) podemos escrever, de modo que os algarismos 0 (zero), 2 (dois) e 4(quatro) apareçam agrupados? Obs.: Considerar somente números de cinco algarismos em que o primeiro ...
por vyhonda
Sáb Nov 20, 2010 11:59
 
Fórum: Estatística
Tópico: ITA
Respostas: 0
Exibições: 1065

Re: Poliedro

Para calcularmos as diagonais, primeiramente deve-se ter algumas informações como nº de vertices, nº de faces, nº de arestas ... Para tal, utilizaremos a Relação de Euler que é a seguinte :: V + F = A + 2 , onde V é o nº de vértices, F é o nº de faces e A é o nº de arestas. Faces = 5 + 4 , pois temo...
por vyhonda
Dom Jul 04, 2010 01:01
 
Fórum: Geometria Espacial
Tópico: Poliedro
Respostas: 1
Exibições: 23113

Re: Pequena dúvida

Caso o (x+1)+2 for o Logaritmando, então todo o logaritmando será elevado a 2ª potência ex: [(x+1)+2]²;

Sua afirmação estaria correta caso o +2 não fosse o logaritmando,

então ficaria : 2 log_{3}^{(x+1)}+2 => log_{3}^{{(x+1)}^{2}}+2
por vyhonda
Sáb Jul 03, 2010 23:10
 
Fórum: Logaritmos
Tópico: Pequena dúvida
Respostas: 4
Exibições: 2486

Re: geometria

piramide.png
resolução


Veja se voce entende meus cálculos. Qualquer coisa só perguntar!
por vyhonda
Sex Mai 14, 2010 14:33
 
Fórum: Geometria Plana
Tópico: geometria
Respostas: 1
Exibições: 1058

Re: geometria

cilin.jpg Observando a ilustração, podemos calcular os volumes lembrando que volume do cilindro é V=Ab\:.\:h Ab = \pi.{r}^{2} No primeiro cilindro, sem a pedra: {V}_{1} = (\pi . {5}^{2})\: .h {V}_{1} = 25\pi\: .h No segundo cilindro, com a pedra: {V}_{2} = (\pi.{5}^{2}).(h\:+\:4...
por vyhonda
Sex Mai 14, 2010 14:29
 
Fórum: Geometria Plana
Tópico: geometria
Respostas: 1
Exibições: 1499

Re: geometria

O sólido em questão é um cilindro, pois palinificado possui 2 círculos (bases) e um retangulo.
por vyhonda
Sex Mai 14, 2010 13:28
 
Fórum: Geometria Plana
Tópico: geometria
Respostas: 1
Exibições: 902

Re: Função

Sabendo que f(x)=\sqrt[]{2x + 3} , basta substituir \sqrt[]{2} em x, assim: f(\sqrt[]{2}) = \sqrt[]{2\sqrt[]{ 2} + 3} => I f(-\sqrt[]{2}) = \sqrt[]{(2 . - \sqrt[]{ 2}) + 3} => II Substituindo Equação I e II na expressão { [ f(\sqrt[]{2}) - f(-\sqrt[]{2}...
por vyhonda
Sex Mai 14, 2010 11:12
 
Fórum: Funções
Tópico: Função
Respostas: 2
Exibições: 1098

Re: Funções

valeu pela ajuda!!
por vyhonda
Qui Mai 13, 2010 15:34
 
Fórum: Funções
Tópico: Funções
Respostas: 2
Exibições: 1111

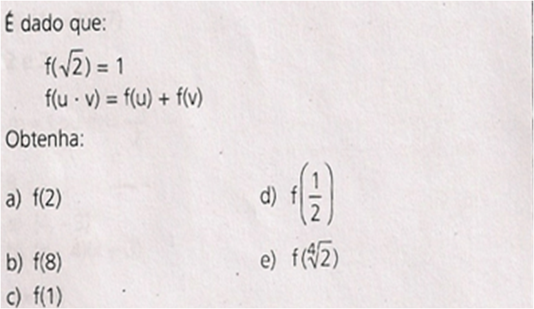
Funções

Galera alguém pode dar uma ajuda?...

funcao 3.png


Obrigado pela Ajuda!
por vyhonda
Qua Mai 12, 2010 18:43
 
Fórum: Funções
Tópico: Funções
Respostas: 2
Exibições: 1111

Funções

Mais um outro exercício, que deu dúvidas

funcao 2.png
Exercicio


Obrigado pela Ajuda!
por vyhonda
Qua Mai 12, 2010 18:39
 
Fórum: Funções
Tópico: Funções
Respostas: 1
Exibições: 882

Funções do 1 Grau

Galera esse exercício é do caderno de exercícios do anglo. O primeiro item eu consegui fazer mas não entendi direito....

funcao 1.png
Exercicio


Valeu pela Ajuda!
por vyhonda
Qua Mai 12, 2010 18:32
 
Fórum: Funções
Tópico: Funções do 1 Grau
Respostas: 1
Exibições: 1333

RESOLVIDO: Angulos na Circunferencia

Havia me esquecido de uma propriedade. Os ANGULOS OPOSTO DE TODO QUADRILÁTERO INSCRITO EM UMA CIRCUNFERENCIA , somam 180º. Portanto o angulo 50º + o angulo adjacente ao alfa = 180º. Nesse caso alfa vale 50º. A resposta de Elcioschin (obrigado pela ajuda), não está incorreto mas não se pode afirmar q...
por vyhonda
Qua Mar 31, 2010 13:18
 
Fórum: Geometria Plana
Tópico: Angulos na Circunferencia
Respostas: 2
Exibições: 12490

Angulos na Circunferencia

Pessoal, estou com duvida nesse exercicio,como axar o valor de alfa.

Caiu na Mackenzie de 2001 -

27. (Mackenzie 2001)

Imagem
O ângulo alfa da figura mede:
a) 60°
b) 55°
c) 50°
d) 45°
e) 40°
por vyhonda
Seg Mar 29, 2010 11:12
 
Fórum: Geometria Plana
Tópico: Angulos na Circunferencia
Respostas: 2
Exibições: 12490

Re: Equações 2º Grau

Vendo sua resolução, está OK!! Mas pode ser que o enunciado foi escrito errado, confira. Mas se for isso o enunciado sua resposta esta correta.
por vyhonda
Seg Mar 22, 2010 08:34
 
Fórum: Funções
Tópico: Equações 2º Grau
Respostas: 2
Exibições: 2664

Re: Correção Polinômios III

4. Como (b+d)x^4=4x^4, então b+d=4; da mesma forma: b+d=4; d+a=0 >>> d=-a; a-c=2 >>> c=a-2 (); c+b=0 >>> c=-b (II); Substituindo-se II em I: -b=a-2 ou b=-a+2 e sabemos que d=-a, então b=d+2 (III); Substituindo III em b+d=4, d+2+d=4, 2d=2, d=1 e portanto b=3; Espero que tenha ajudado!! té mais!
por vyhonda
Sex Fev 12, 2010 15:18
 
Fórum: Polinômios
Tópico: Correção Polinômios III
Respostas: 1
Exibições: 1722

Re: trigonometria

consegui resolver esses problemas.... se estiver precisando mande o email que scaneio e mando... digita é meio ossoo =X
vinicius.honda@yahoo.com.br
por vyhonda
Sex Fev 12, 2010 14:37
 
Fórum: Trigonometria
Tópico: trigonometria
Respostas: 1
Exibições: 2154

Voltar à pesquisa avançada