Pesquisa resultou em 1 ocorrência

Voltar à pesquisa avançada

Como tirar a indeterminação

Boa noite!

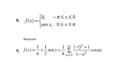
estou com um problema para tirar a indeterminacao em um serie e Fourier, ja jeguei nessa somatoria com + 1/pi mas nao consigo passar para n2

somatoria.png
somatoria.png (2 KiB) Exibido 4156 vezes



para poder chegar nessa outra resposta.

Sem título.png
por Nelio F Junior
Seg Nov 02, 2015 22:18
 
Fórum: Sequências
Tópico: Como tirar a indeterminação
Respostas: 2
Exibições: 4156

Voltar à pesquisa avançada