Pesquisa resultou em 16 ocorrências

Voltar à pesquisa avançada

Cálculo 1 - Derivadas

Mostre que a equação tem exatamente uma raiz real
a- 2x+ cosx=0 b-x³ +e^x=0

Nota- nao sei nem como inicia
por johnatta
Dom Nov 22, 2015 11:40
 
Fórum: Cálculo: Limites, Derivadas e Integrais
Tópico: Cálculo 1 - Derivadas
Respostas: 1
Exibições: 2935

Derivada-questão da prova

Seja r(x)=f(g(h(x))),onde:
h(1)=2;g(2)=3;h'(1)=4;g'(2)=5 e f'(3)=6 encontre e'(1)

OBS: n SEi nem por onde começar
por johnatta
Ter Jun 16, 2015 13:47
 
Fórum: Cálculo: Limites, Derivadas e Integrais
Tópico: Derivada-questão da prova
Respostas: 1
Exibições: 2238

Cálculo 1- Derivação

encontre todos os pontos sobre a curv x^2 + y^2 + xy=2 onde a inclinação da reta tangente é -1
por johnatta
Sex Jun 12, 2015 10:32
 
Fórum: Cálculo: Limites, Derivadas e Integrais
Tópico: Cálculo 1- Derivação
Respostas: 1
Exibições: 1566

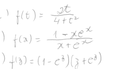
Derivação

j.png


Na primeira fiquei em dúvida, e na segunda nao sei como se faz...
por johnatta
Qui Jun 04, 2015 10:53
 
Fórum: Cálculo: Limites, Derivadas e Integrais
Tópico: Derivação
Respostas: 1
Exibições: 1572

Re: Calculo 1 revisao para prova

O problema acabou ? E a equação da reta tangente ? Obrigado !
por johnatta
Qua Jun 03, 2015 13:43
 
Fórum: Cálculo: Limites, Derivadas e Integrais
Tópico: Calculo 1 revisao para prova
Respostas: 3
Exibições: 2748

Calculo 1 revisao para prova

Se g(x)=x.f(x), onde f(3)=4 e f'(3)=-2, encontre uma equação da reta tangente
ao gráfico de g no ponto x=3
por johnatta
Seg Jun 01, 2015 10:05
 
Fórum: Cálculo: Limites, Derivadas e Integrais
Tópico: Calculo 1 revisao para prova
Respostas: 3
Exibições: 2748

Re: Calculo 1 -derivada

Amigo, você ajudou bastante. Mas ,na verdade, eu quero ter a certeza da resposta. Então, se possível, por favor, resolva por completo ? Grato !
por johnatta
Dom Mai 31, 2015 16:27
 
Fórum: Cálculo: Limites, Derivadas e Integrais
Tópico: Calculo 1 -derivada
Respostas: 2
Exibições: 2256

Calculo 1 -derivada

1.png
1.png (8.18 KiB) Exibido 2256 vezes
Sem título.png
por johnatta
Sáb Mai 30, 2015 13:29
 
Fórum: Cálculo: Limites, Derivadas e Integrais
Tópico: Calculo 1 -derivada
Respostas: 2
Exibições: 2256

Vetores ! Por favor, da forma mais detalhada possível.Grato

Calcule o ângulo entre os vetores v e w, sabendo que ||u|| = ||w|| = 5,
||v|| = 1, ||u -v + w|| = ||u +v + w|| e que o ângulo entre u e v é

pi/8
.
Resp.:
7pi
8
por johnatta
Sáb Mai 23, 2015 12:45
 
Fórum: Geometria Analítica
Tópico: Vetores ! Por favor, da forma mais detalhada possível.Grato
Respostas: 0
Exibições: 1142

Limites....

Se lim f(x) -8/ x-1 =10 entao lim f(x) x-->1 é ?
x-->1

Para quais valores da constante c a função é contínua em ( - infinito, mais infinito)
f(x)= cx² + 2x se x<2
x³ -cx se x> ou igual a 2
por johnatta
Qui Mai 07, 2015 20:06
 
Fórum: Cálculo: Limites, Derivadas e Integrais
Tópico: Limites....
Respostas: 0
Exibições: 939

Existe esse limite e para qual numero ?

Existe um número "a" tal que:

lim 3x² + ax + a + 3 / x² + x - 2
x-> -2

exista? Caso afirmativo, encontre "a" e o valor do limite.
por johnatta
Seg Mai 04, 2015 11:44
 
Fórum: Cálculo: Limites, Derivadas e Integrais
Tópico: Existe esse limite e para qual numero ?
Respostas: 1
Exibições: 1980

Re: limite help

Nesse caso, os limites não existem ?
por johnatta
Sáb Mai 02, 2015 20:16
 
Fórum: Cálculo: Limites, Derivadas e Integrais
Tópico: limite help
Respostas: 3
Exibições: 1972

limite help

lim f(x)-f(1)/x -1 onde f(x)= x+1 se x > ou igual 1
x-->1 2x se x< 1

lim g(x) -g(2)/x-2 onde g(x)= x se x> ou igual 2
x-->2 x² se x <2
por johnatta
Qui Abr 30, 2015 17:46
 
Fórum: Cálculo: Limites, Derivadas e Integrais
Tópico: limite help
Respostas: 3
Exibições: 1972

Calculo 1 revisao para prova

lim da raiz cubica de 3x + 5 -2/x² -1 x-->1 (a raiz engloba só o NUMERADOR e vai até o numero 5,ou seja, o -2 está fora da raiz) lim f(x)-f(1)/x -1 onde f(x)= x+1 se x > ou igual 1 x-->1 2x se x< 1 lim g(x) -g(2) onde g(x)= x se x> ou igual 2 x-->2 x-2 x² se x <2 x 2-Esboce o grafico da função dada ...
por johnatta
Dom Abr 26, 2015 22:00
 
Fórum: Cálculo: Limites, Derivadas e Integrais
Tópico: Calculo 1 revisao para prova
Respostas: 0
Exibições: 1688

Re: [Cálculo 1] Limites

Nesse caso, vc cortou direto ou foi chutando valores maiores e depois menores que 1 ? Ou tanto faz ? Grato !
por johnatta
Sex Abr 10, 2015 21:44
 
Fórum: Cálculo: Limites, Derivadas e Integrais
Tópico: [Cálculo 1] Limites
Respostas: 3
Exibições: 1814

[Cálculo 1] Limites

Calcule caso exista. Se não justifique

lim | x- 1|/x-1
x-->1^+

lim |x-1|/x-1
x-->1^-

lim |x-1|/x-1
x-->1

lim raiz quadrada de x
x-->0
por johnatta
Ter Abr 07, 2015 17:41
 
Fórum: Cálculo: Limites, Derivadas e Integrais
Tópico: [Cálculo 1] Limites
Respostas: 3
Exibições: 1814

Voltar à pesquisa avançada