Olá,
agradeço a vossa ajuda para perceber o seguinte exercício:

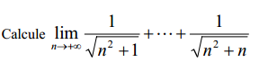
- Limites_Sucessões.PNG (4.98 KiB) Exibido 7817 vezes
é errado afirmar que o limite desta sucessão tende para 0, atendendo à grandeza do denominador? Existe alguma descrição matemática para a resolução deste tipo de exercícios?
Obrigado,
Paulo